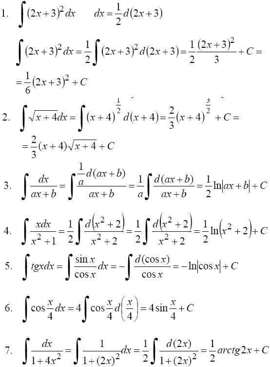
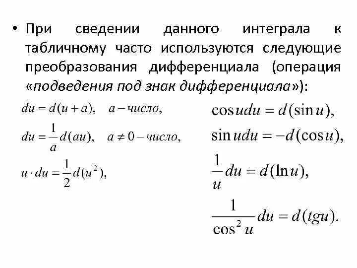
Под дифференциал