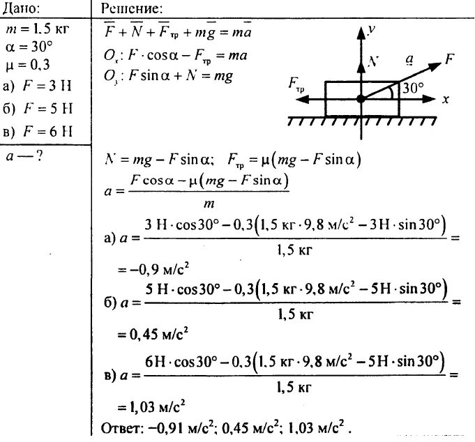
Под действием какой силы направленной