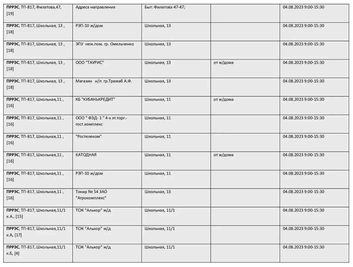
Почему нет света краснодар сейчас