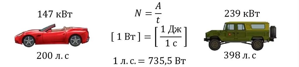
Почему лошадиные силы