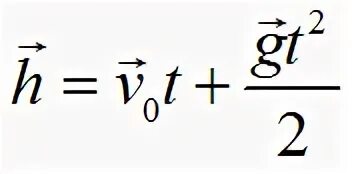
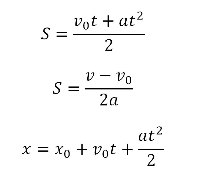
По какой формуле рассчитывается перемещение s vt