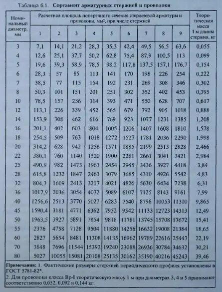
Площади поперечных сечений стальных проволок