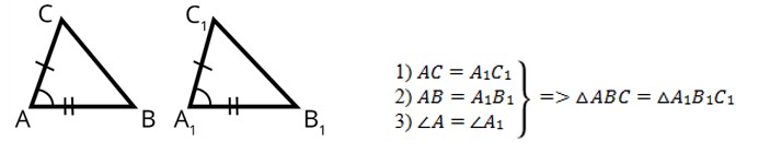
Площадь треугольника огэ 9 класс