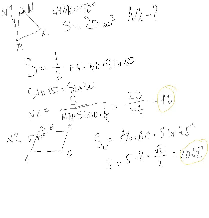
Площадь треугольника mnk равна 1 2 mn