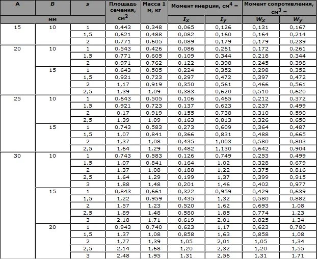
Площадь сечения 1 кв