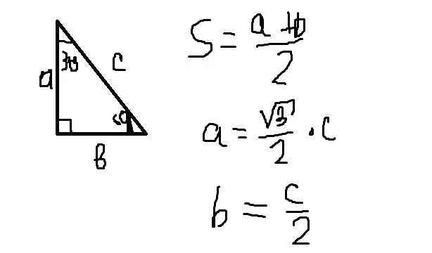
Площадь прямоугольного треугольника 392 корень из 3