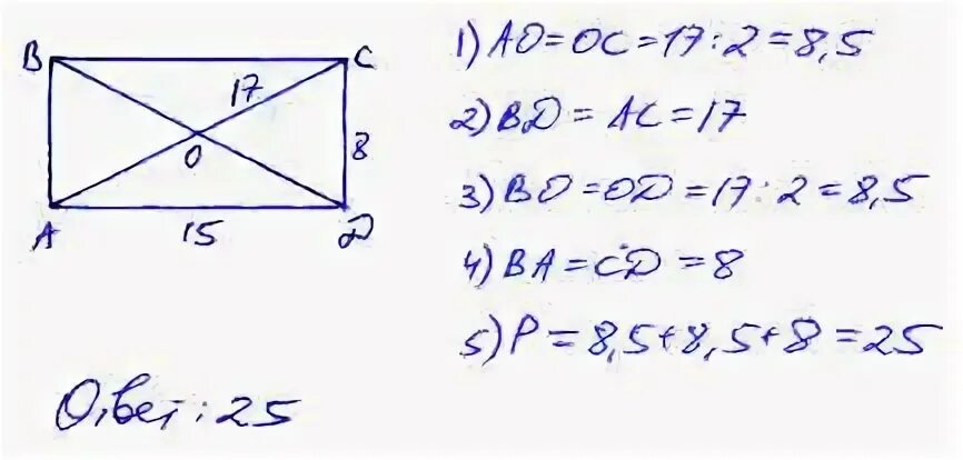
Площадь прямоугольника авсд 15