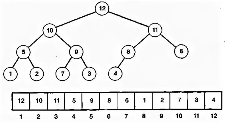
Пирамида структура данных