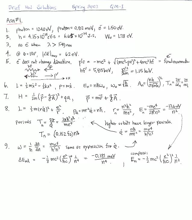
Physics problem