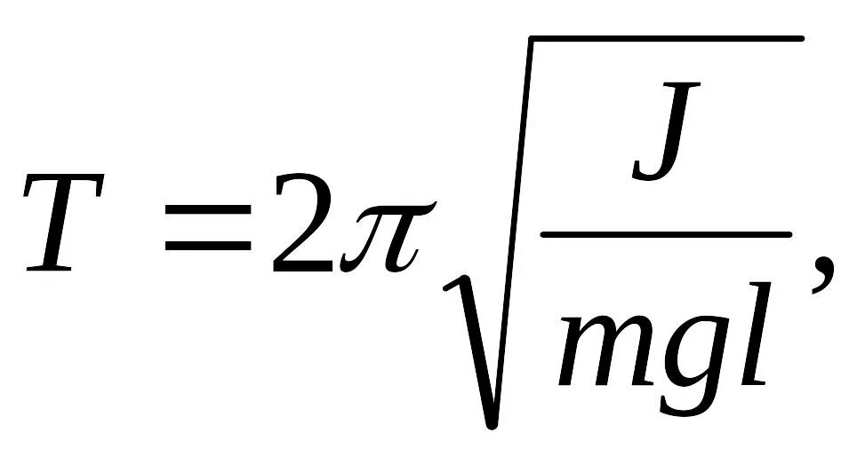
Период колебаний вычисляется по формуле