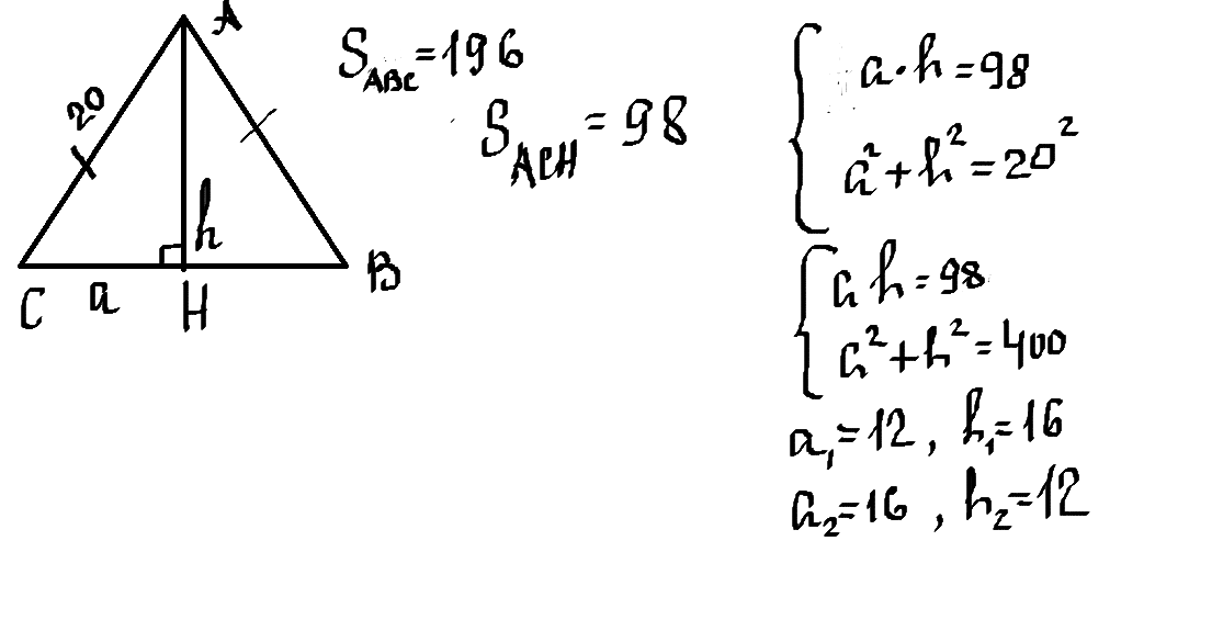
Периметр равнобедренного треугольника равен 30 найти площадь