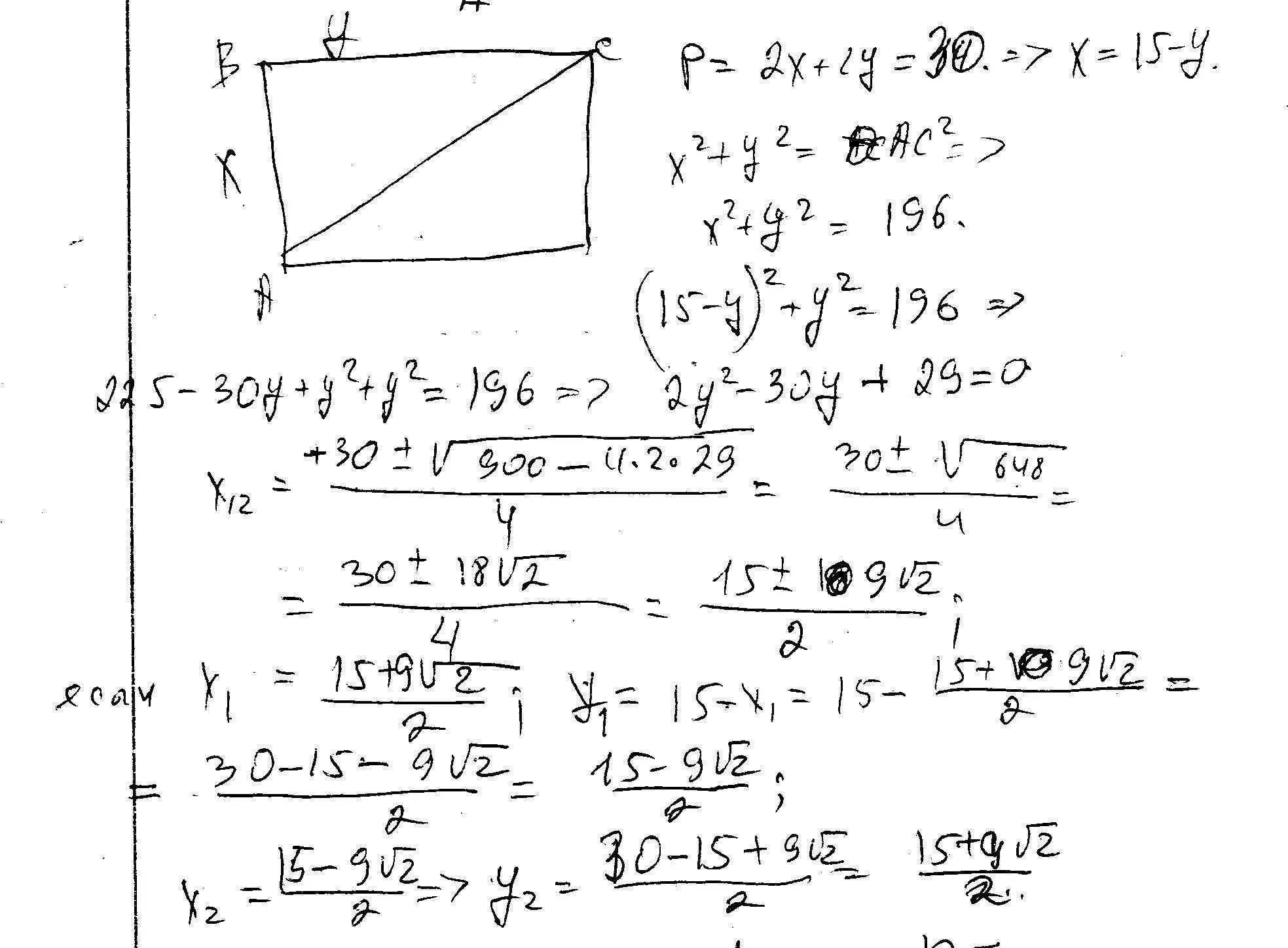
Периметр прямоугольника равен 30 а диагональ