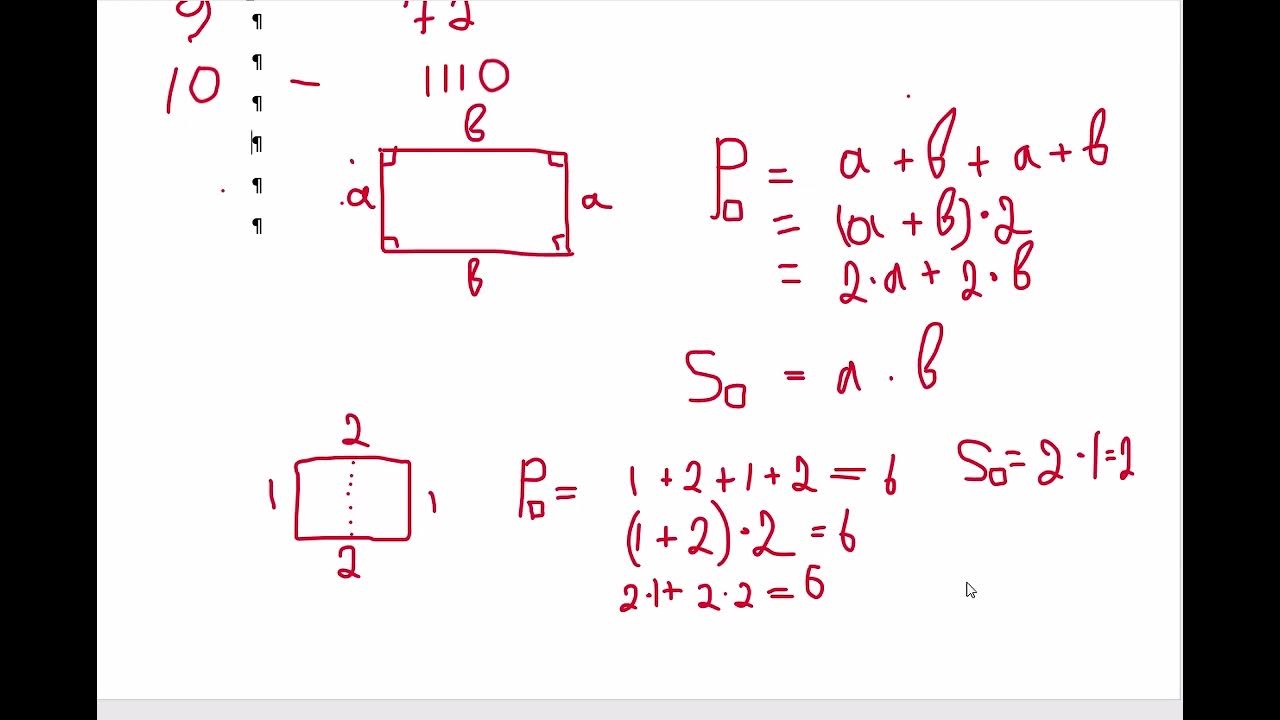
Периметр прямоугольника равен 24 диагональ 11