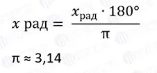
Перевод угла из радиан в градусы