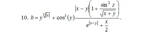
Перевести формулу в c