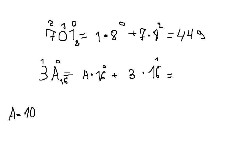
Переведите в десятичную систему числа 3а 16