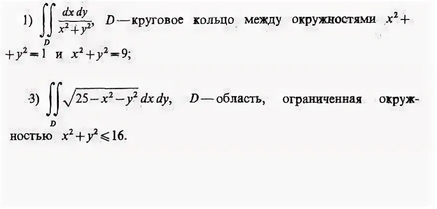
Переходя к полярным координатам вычислить двойной интеграл