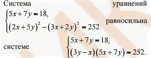
Переходу следующей форме