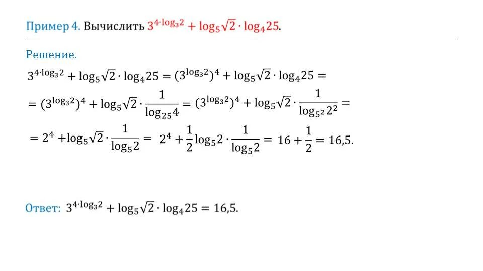
Переход к новому основанию логарифма примеры