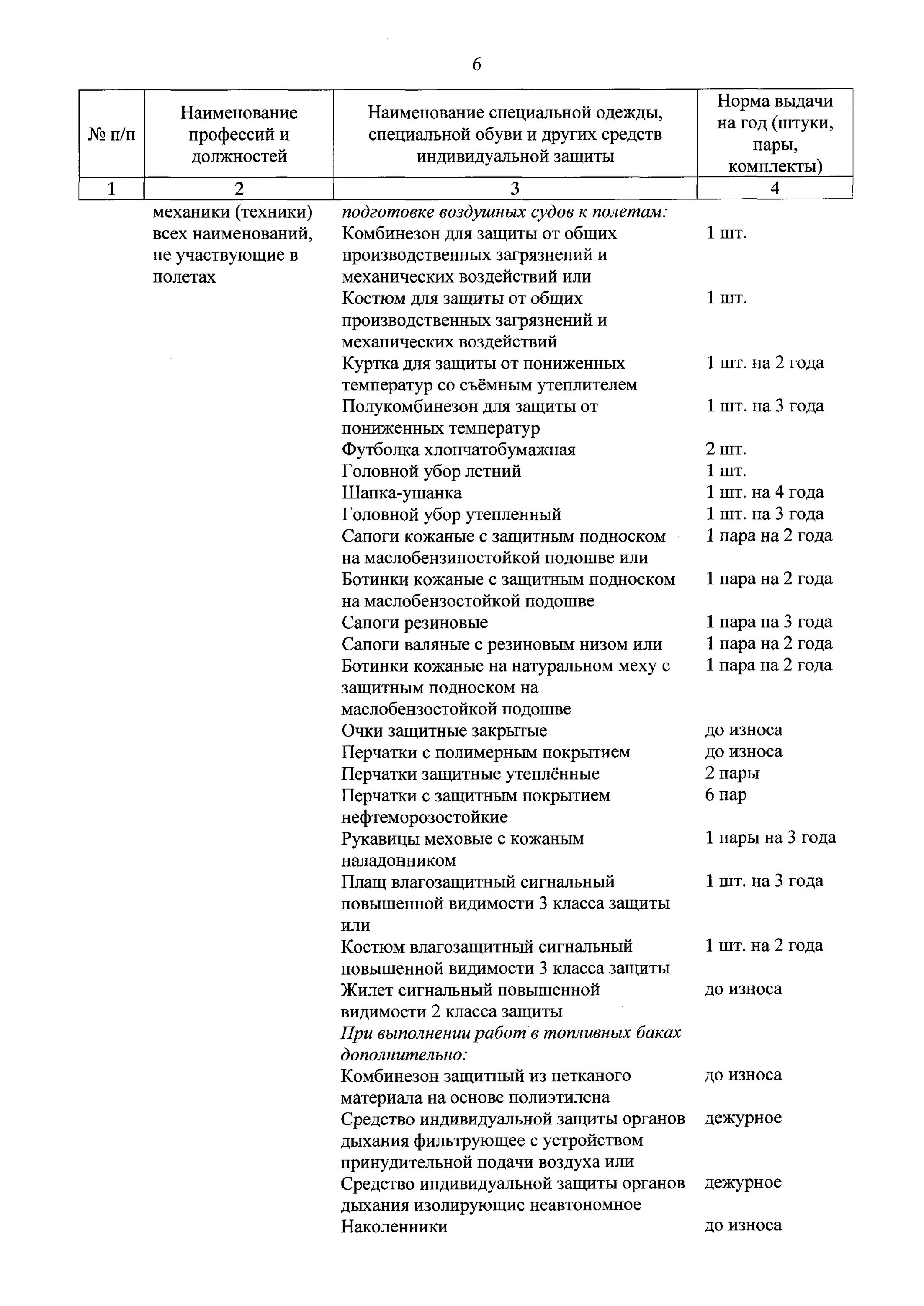
Перечень профессий которым выдается спецодежда