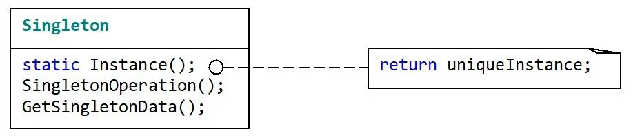
Паттерн singleton