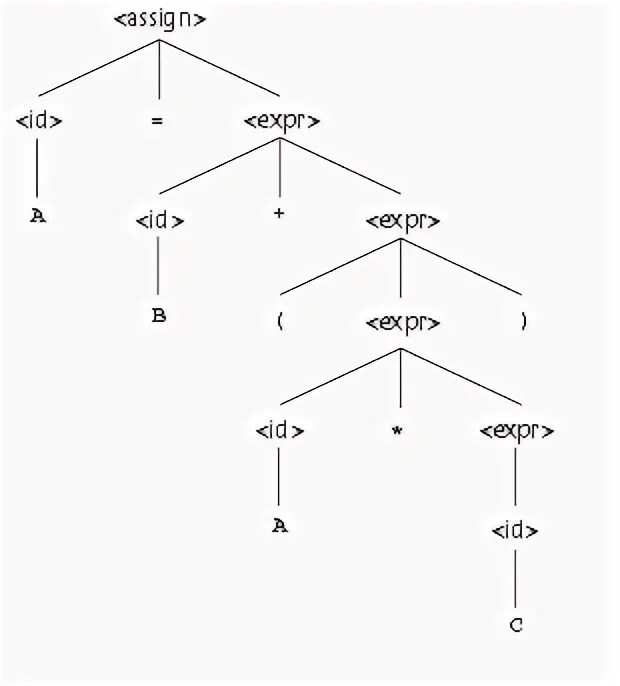
Parse template