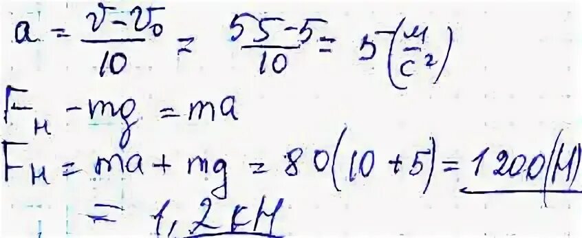
Парашютист достигнув в затяжном прыжке скорости