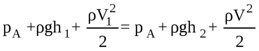
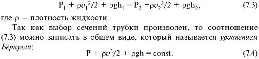
P pgh в физике