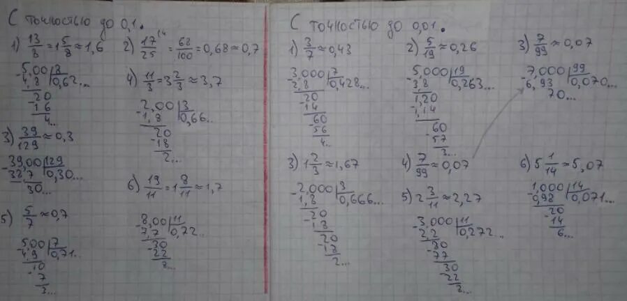
Ответ запишите с точностью до целых