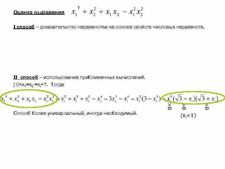
Оценка выражения