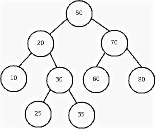
Отбор дерево значений