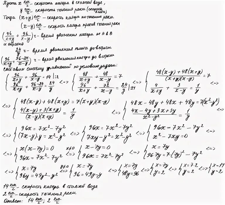
От пристани а одновременно отчалили плот