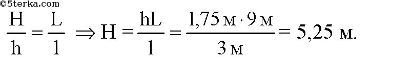
От подъемного крана освещаемого солнцем