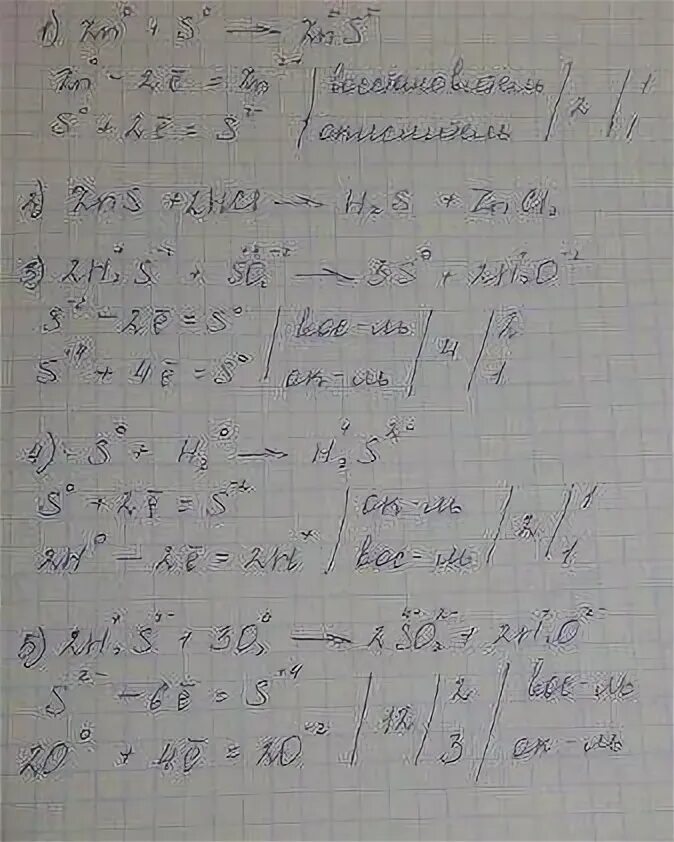
Осуществите следующие превращения zns h2s s so2