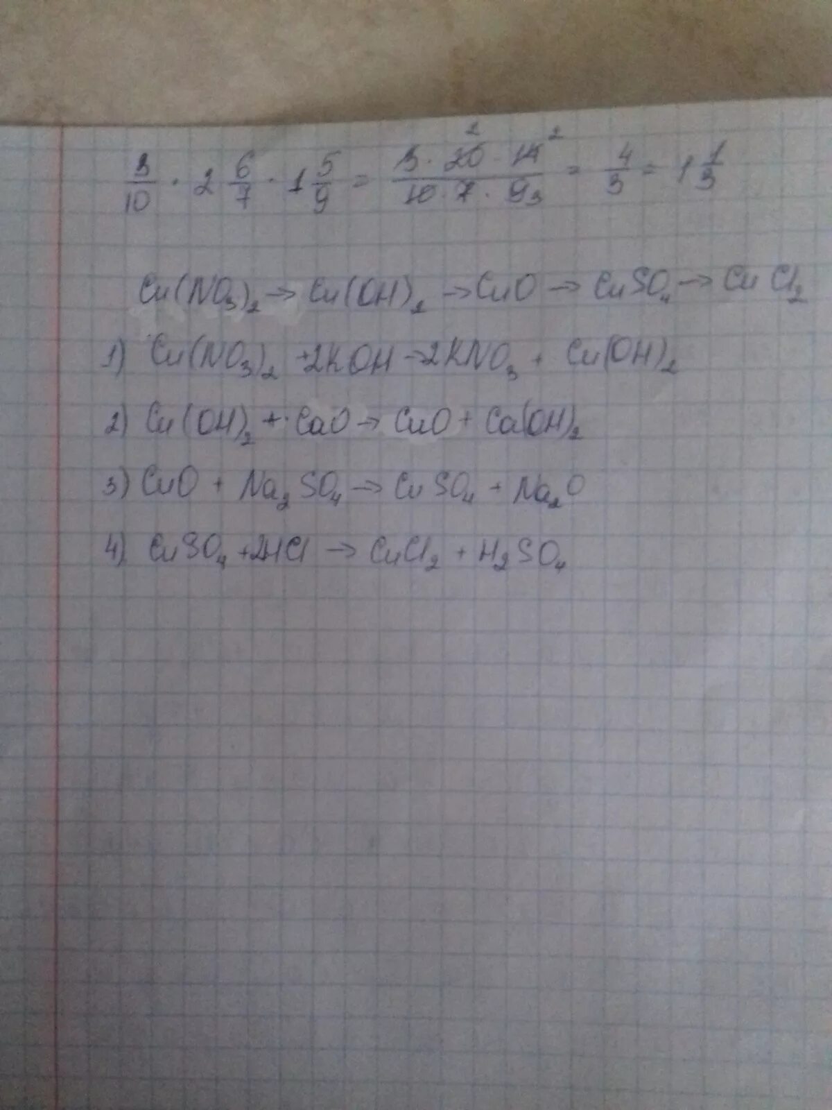
Осуществить превращение cucl2 cus