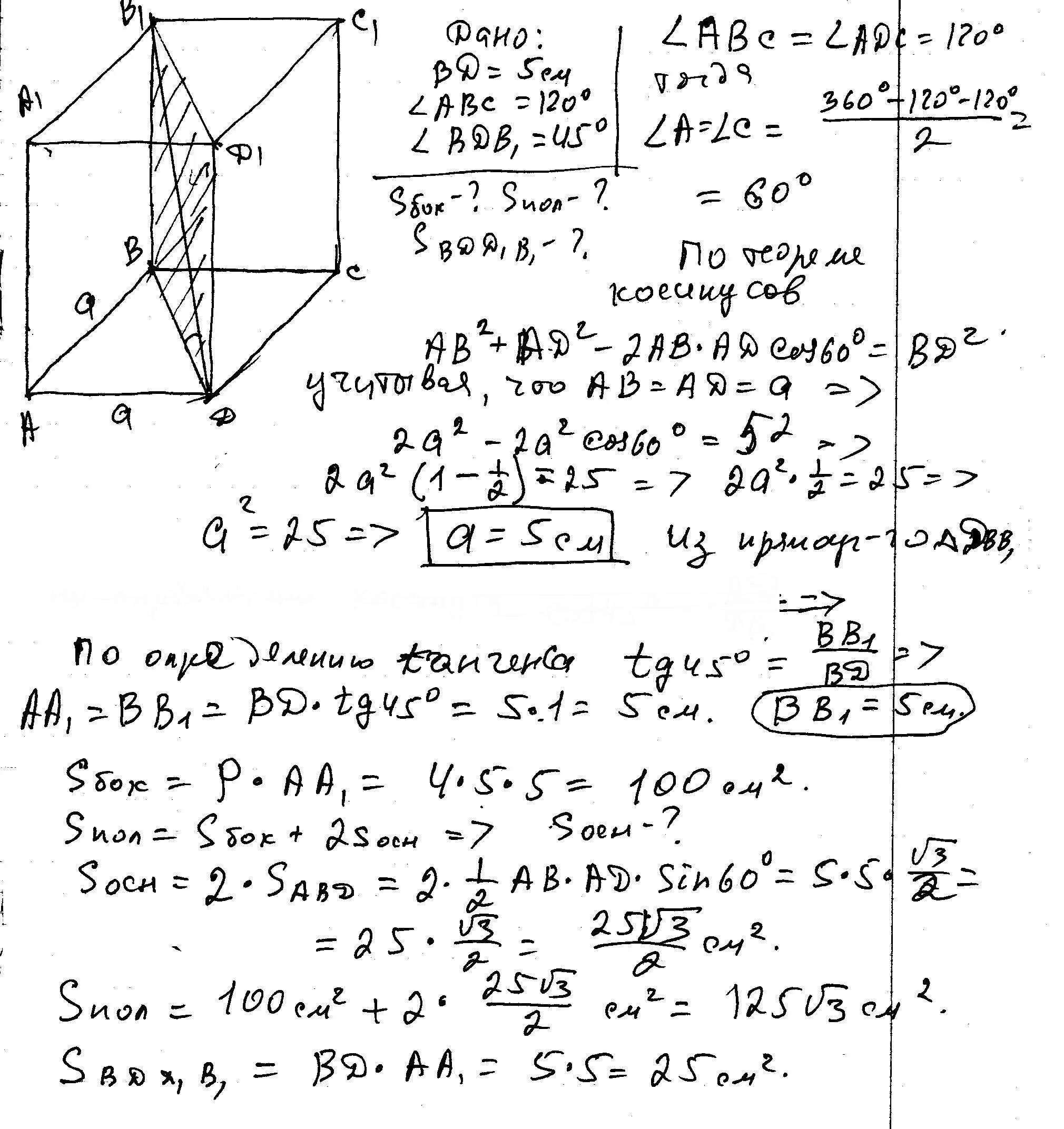
Основанием прямой призмы является ромб