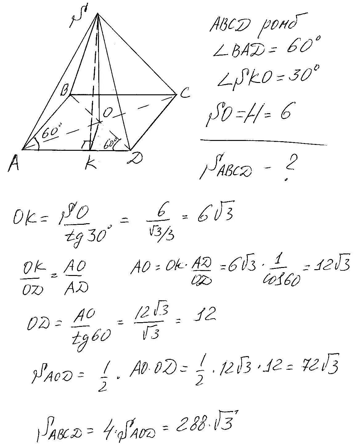
Основанием пирамиды является грань