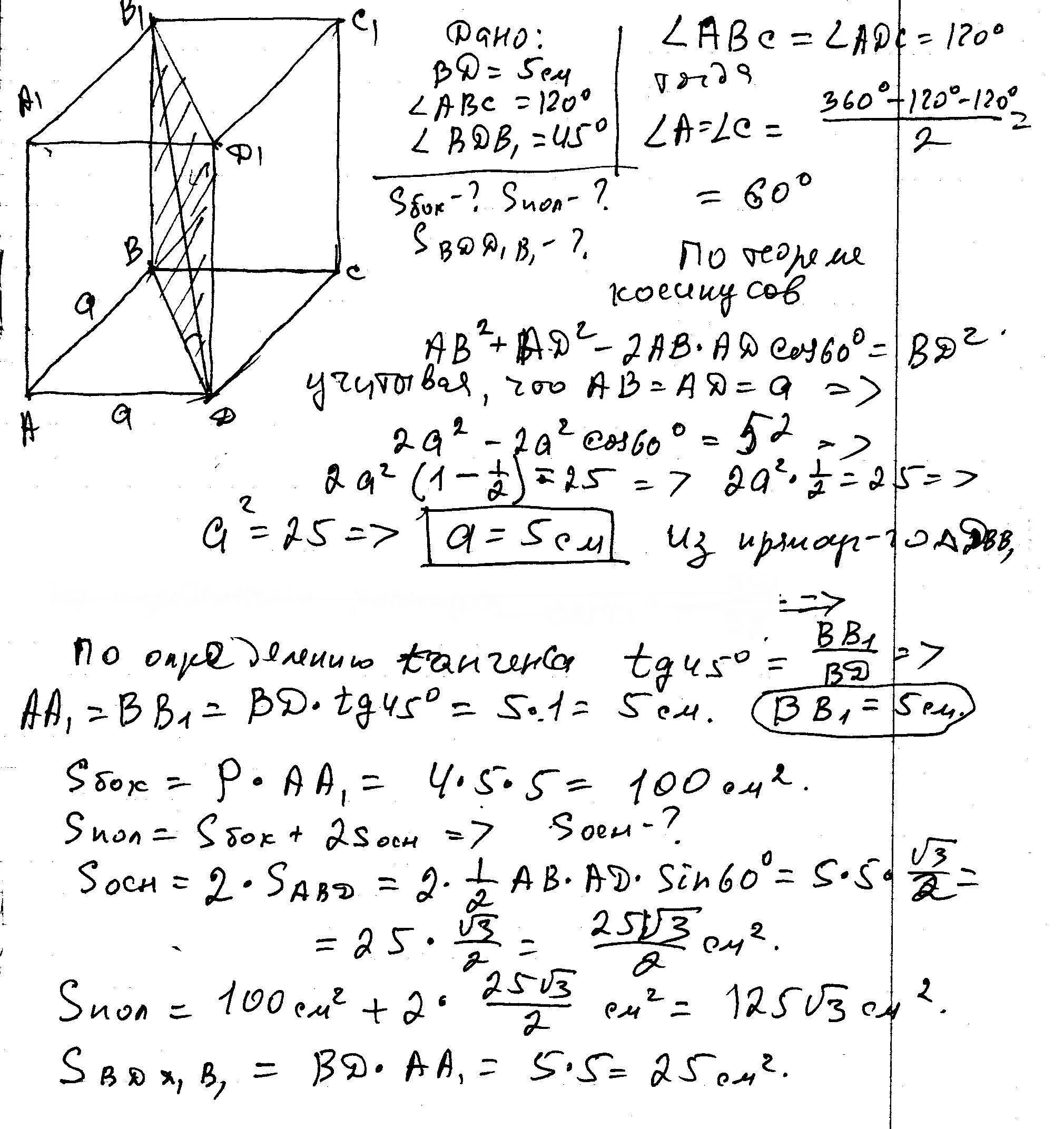
Основание прямой призмы ромб диагональные сечения