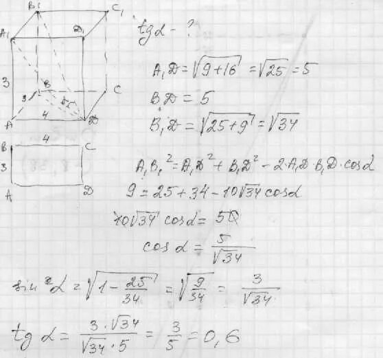
Основание прямой призмы прямоугольник со сторонами