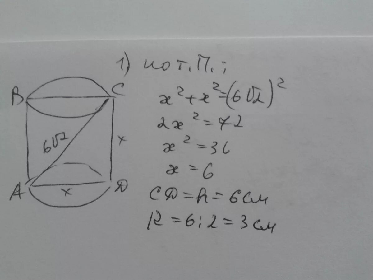
Осевое сечение цилиндра квадрат диагональ которого 6