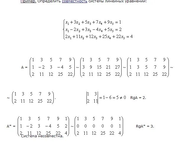
Ортогональная матрица пример