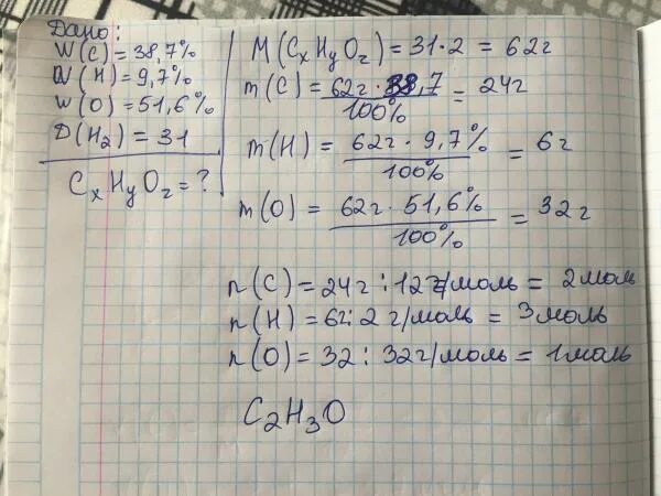
Органическое вещество а содержащее по массе