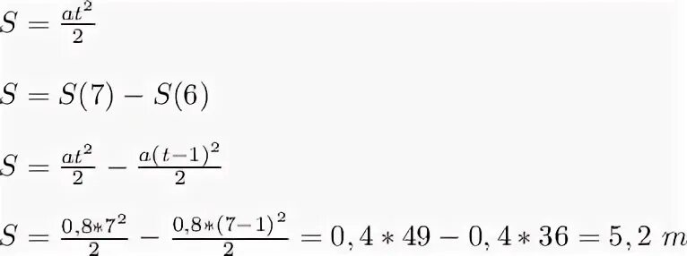
Определите ускорение автомобиля если при разгоне