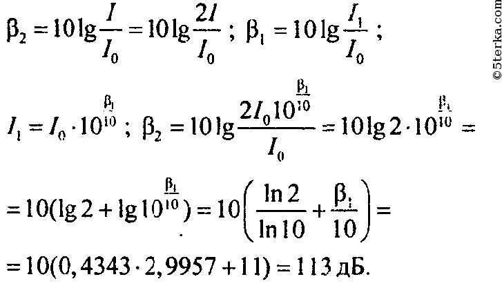
Определите уровень интенсивности