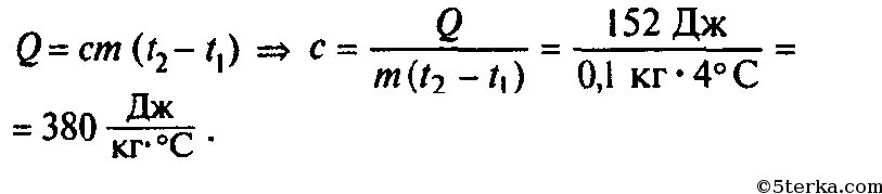
Определите удельную теплоемкость металла если для изменения