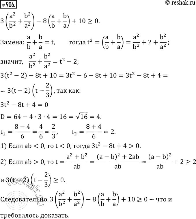
Определите сколько целых значений может принимать выражение