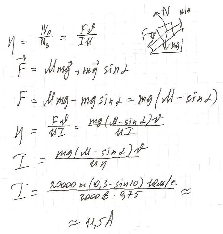
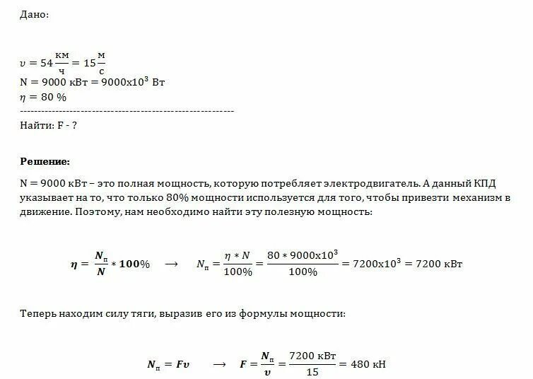
Определите работу совершенную электровозом за 2 часа