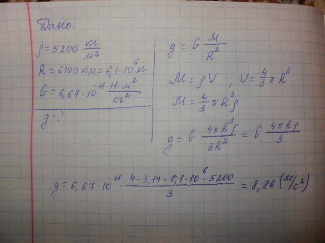
Определите первую космическую скорость вблизи поверхности венеры