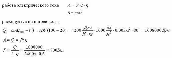
Определите мощность потребляемую электрическим