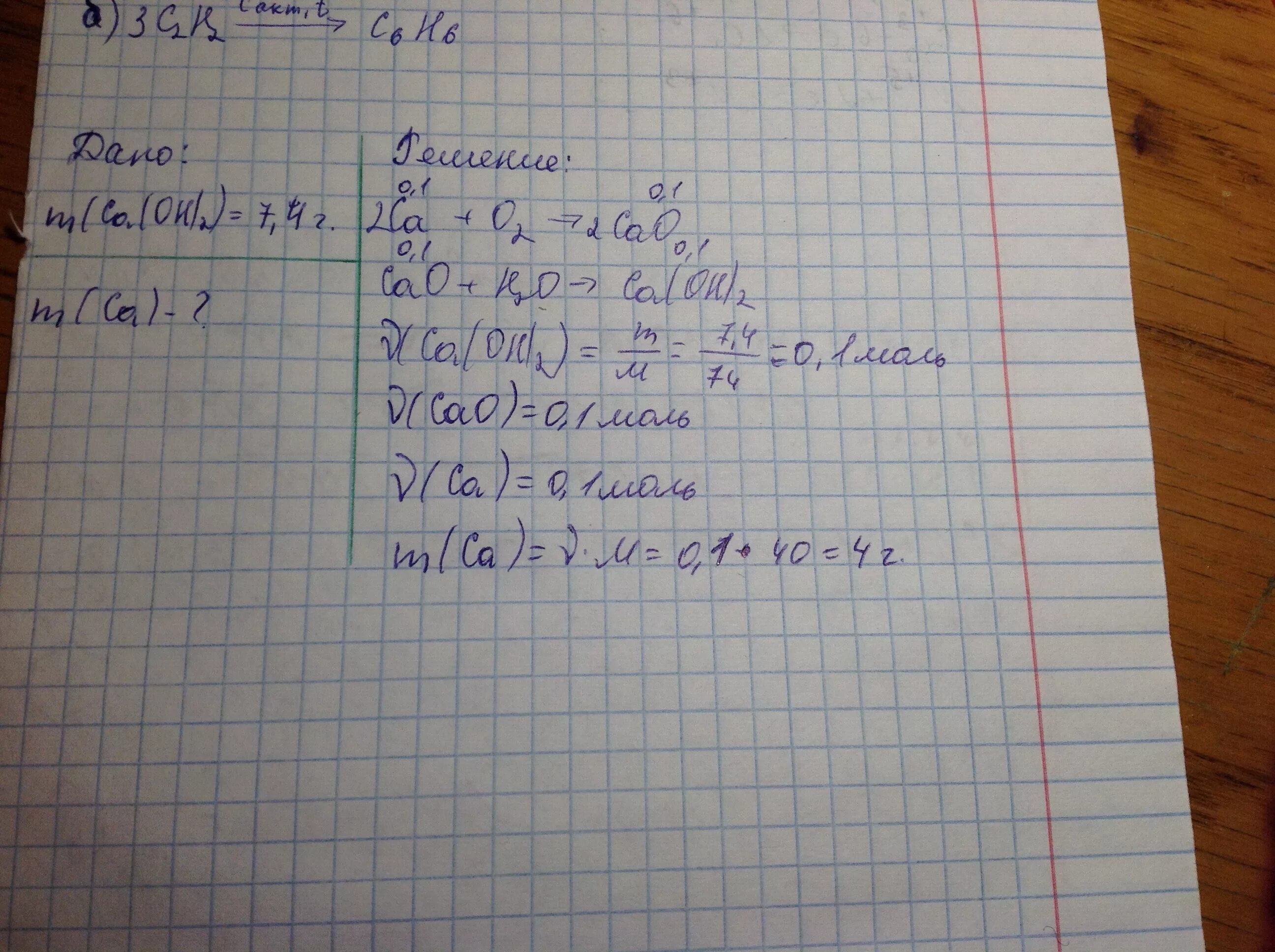
Определите массу водорода который